Mandler 35mm f/2 ożywia klasyczny obiektyw Leica i oferuje metalową obudowę o wadze 138 g w niskiej cenie

Obiektyw Leica Summicron-M 35 mm f/2 Typ 4, znany również jako "Król Bokeh", nadal jest sprzedawany za ponad 1000 USD za używany, a w dobrym stanie niektórzy sprzedawcy żądają ponad 2000 USD za obiektyw, który był produkowany przez Leica w latach 1979-1996.
Obiektyw zaprojektowany przez inżyniera optycznego firmy Leica, Waltera Mandlera, nadal cieszy się popularnością ze względu na swój niezwykły wygląd. Jedna z chińskich firm skopiowała teraz ten obiektyw, a od projektu obudowy po strukturę optyczną, ta nowa wersja wydaje się być bardzo zbliżona do oryginału, z tym wyjątkiem, że replika jest oferowana w znacznie niższej cenie. Pomimo niższej ceny, obudowa wykonana jest z aluminium. Obiektyw ma tylko około 1,3 cala długości i waży 4,9 uncji, a oferowana jest również wersja mosiężna, która waży 7,4 uncji.
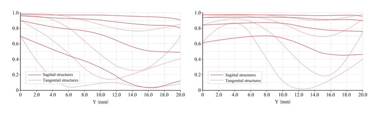
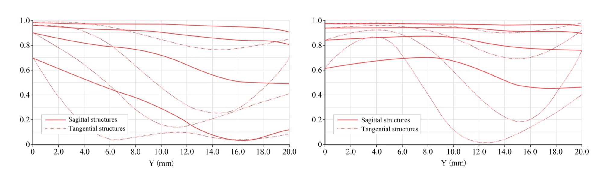
Konstrukcja składająca się z siedmiu elementów w pięciu grupach została nieznacznie zmodernizowana, aby zapewnić lepszą jakość obrazu w połączeniu z czujnikami cyfrowymi. Jednakże, jak pokazują krzywe MTF producenta, obiektyw, podobnie jak oryginał, ma wyraźną krzywiznę pola, więc środek obrazu i rogi są ostrzejsze niż obszar pomiędzy nimi. Nawet w centrum, obiektyw nie jest szczególnie ostry przy szerokim otwarciu.
Cena i dostępność
Pełnoklatkowy obiektyw Mandler 35 mm f/2.0 "7 Elements" jest już dostępny w sklepie internetowym producenta https://mandler.shop/products/mandler-35mm-f2-7-elements-aluminum#product-descriptionw wersji z mocowaniem Leica M za 348 dolarów lub z mocowaniem śrubowym LTM za 378 dolarów. Wersja srebrna kosztuje dodatkowe 30 dolarów, a zestawy akcesoriów zawierające osłonę obiektywu są również dostępne za dodatkową opłatą. Wersja Leica M jest obecnie wyprzedana, ale oczekuje się, że będzie ponownie dostępna w marcu. Wysyłka z Chin jest bezpłatna, ale ceny nie obejmują potencjalnych opłat importowych.

















